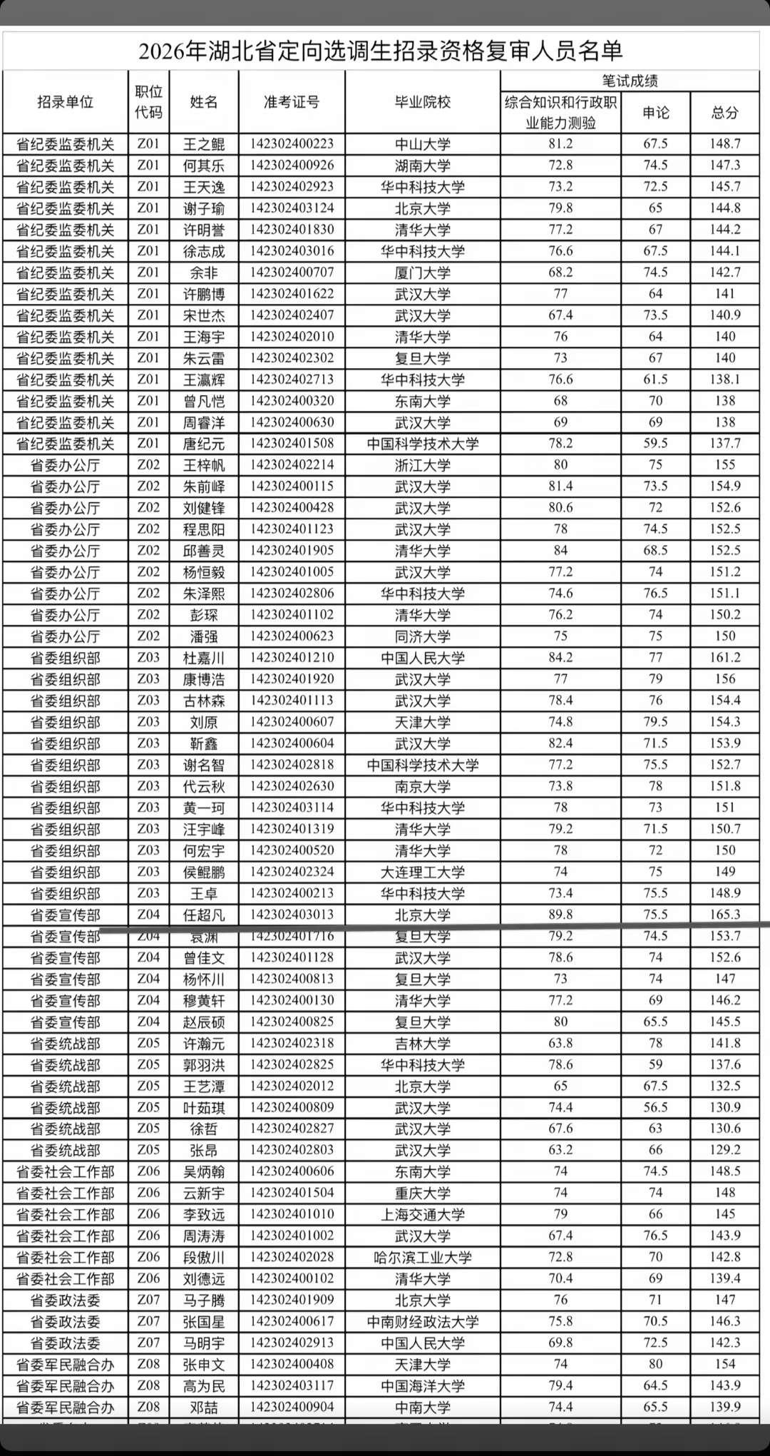
全是名牌大学!考上985的分去读五大官校还是比较吃亏。因为去读985后,还是有机会去更好的单位。 选择的机会也多一些。
猜你喜欢
【11评论】【9点赞】
【3点赞】
【1点赞】
【108评论】【11点赞】
【9评论】【4点赞】
【106评论】【37点赞】
【1评论】【3点赞】
【33评论】【51点赞】
袁遗趣事
感谢大家的关注
作者最新文章
热门分类
社会TOP
社会最新文章